ជាពិសេស បណ្ឌិត្យសភាសារព័ត៌មាន និងសារគមនាគមន៍ បានទទួលស្គាល់លទ្ធផលនៃការចូលរៀនដោយផ្ទាល់ទៅក្នុងប្រព័ន្ធសាកលវិទ្យាល័យធម្មតាក្នុងឆ្នាំ 2025 រួមមាន:
- ទទួលយកដោយផ្ទាល់នូវបេក្ខជនចំនួន 100 នាក់ ដែលបានឈ្នះរង្វាន់ទីមួយ ទីពីរ និងទីបី ក្នុងការប្រឡងជ្រើសរើសសិស្សពូកែថ្នាក់ជាតិ។ បេក្ខជនដែលឈ្នះរង្វាន់ទី១ ទី២ និងទី៣ ក្នុងការប្រកួតប្រជែង វិទ្យាសាស្ត្រ និងបច្ចេកវិទ្យាជាតិ និងអន្តរជាតិក្នុងឆ្នាំ២០២៥។
- ចុះឈ្មោះចូលរៀនដោយផ្ទាល់សម្រាប់បេក្ខជនមកពីវិទ្យាល័យក្រុមប្រឹក្សាជនជាតិភាគតិចចំនួន ៤នាក់ បេក្ខជនមកពីជនជាតិភាគតិចចំនួន ២នាក់ សិស្សកំពុងសិក្សាមធ្យមសិក្សាទុតិយភូមិឆ្នាំទី ៣ ចំនួន ២ នាក់ បេក្ខជនពិការចំនួន ០២ នាក់ ។
ទោះជាយ៉ាងណាក៏ដោយ បេក្ខជនដែលបានចូលរៀនក្រោមការចូលដោយផ្ទាល់ត្រូវតែមានពិន្ទុប្រឡងសញ្ញាបត្រមធ្យមសិក្សាទុតិយភូមិនៅឆ្នាំ 2025 យោងទៅតាមការរួមបញ្ចូលគ្នានៃការចូលរៀនរបស់បណ្ឌិត្យសភា (ដែលត្រូវនឹងមុខវិជ្ជាដែលបានចូលរៀននីមួយៗ) ឈានដល់កម្រិតនៃការធានាគុណភាពបញ្ចូលចាប់ពី 18 ពិន្ទុ ឬខ្ពស់ជាងនេះសម្រាប់ក្រុមធំទី 2 (មាត្រដ្ឋាន 30 ពិន្ទុ) និង 25 ពិន្ទុ ឬខ្ពស់ជាងនេះសម្រាប់ក្រុមធំ 1, 0-3 ពិន្ទុ។
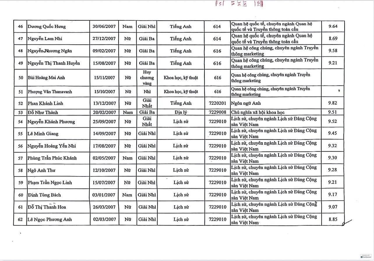
ជាពិសេស បញ្ជីបេក្ខជនចំនួន 100 នាក់ដែលបានចូលរៀនកម្មវិធីសាកលវិទ្យាល័យធម្មតាជាមួយនឹងការចូលដោយផ្ទាល់នៅឆ្នាំ 2025 នៃបណ្ឌិត្យសភាសារព័ត៌មាន និងទំនាក់ទំនង មានដូចខាងក្រោម៖





បេក្ខជនដែលជោគជ័យនៅតែត្រូវចុះឈ្មោះតាមប្រព័ន្ធតាមផែនការទូទៅរបស់ក្រសួងអប់រំ និងបណ្តុះបណ្តាល ចាប់ពីថ្ងៃទី ១៦ ខែកក្កដា ដល់ម៉ោង ៥:០០ ល្ងាច។ នៅថ្ងៃទី 28 ខែកក្កដា។ លទ្ធផលចូលរៀនត្រូវបានបង្ហោះនៅលើវិបផតថលព័ត៌មានអេឡិចត្រូនិករបស់បណ្ឌិត្យសភា៖ https://ajc.hcma.vn/ និងគេហទំព័រចូលរៀន និងបណ្តុះបណ្តាល https://daotaoajc.edu.vn/ ។
ប្រភព៖ https://vietnamnet.vn/hon-100-thi-sinh-dau-tien-trung-tuyen-hoc-vien-bao-chi-va-tuyen-truyen-nam-2025-2422154.html
Kommentar (0)