![]() |
| TP. Hồ Chí Minh công bố đề mẫu 3 môn Toán, Ngữ văn, Tiếng Anh thi lớp 10 năm 2026. (Ảnh: Nguyễn Huế) |
Đây là năm đầu tiên thi lớp 10 sau sáp nhập TP. Hồ Chí Minh, Bình Dương, Bà Rịa Vũng Tàu với số thí sinh rất đông. Cụ thể mẫu đề 3 môn Ngữ văn, Toán và Tiếng Anh như sau:
Môn Ngữ văn
Môn Ngữ văn, đề thi được xây dựng theo định hướng tích hợp giữa đánh giá năng lực đọc hiểu và viết, nội dung trong phần viết có liên quan đến văn bản ở phần đọc hiểu.
Cấu trúc đề thi lớp 10 môn ngữ văn gồm 2 phần:
Phần 1 (5 điểm): Đọc hiểu văn bản văn học và viết đoạn văn
Câu 1 (3 điểm): Đọc hiểu
Câu 2 (2 điểm): Viết đoạn văn
Phần 2 (5 điểm): Đọc hiểu văn bản nghị luận hoặc văn bản thông tin và viết bài văn nghị luận xã hội
Câu 1 (1 điểm): Đọc hiểu
Câu 2 (4 điểm): Viết bài văn nghị luận xã hội
Căn cứ đánh giá là các yêu cầu cần đạt về đọc hiểu và viết trong Chương trình giáo dục phổ thông (GDPT) 2018 môn ngữ văn cấp THCS, chủ yếu là lớp 8 và lớp 9.
Mẫu đề như sau:
![]() |
![]() |
| Mẫu đề thi môn Ngữ văn lớp 10 tại TP. Hồ Chí Minh năm 2026. |
Môn Toán
Môn Toán, nội dung yêu cầu đề thi nằm trong Chương trình GDPT 2018 môn toán cấp THCS, bao gồm các mạch kiến thức: Hình học và đo lường; số và đại số; Thống kê và xác suất. Nội dung kiểm tra nhằm mục đích đánh giá các năng lực toán học như tư duy và lập luận toán học, giải quyết vấn đề toán học, mô hình hóa toán học.
Cấu trúc đề thi lớp 10 môn toán gồm 7 câu:
Bài 1. (1,5 điểm) Cho hàm số y = ax2
a) Vẽ đồ thị (P) của hàm số trên.
b) Tìm những điểm thuộc (P) thỏa điều kiện cho trước.
Bài 2. (1 điểm) Cho phương trình bậc hai ax2 + bx + c = 0
a) Tìm điều kiện có nghiệm của phương trình.
b) Vận dụng hệ thức Viete, tính giá trị biểu thức liên quan đến các nghiệm.
Bài 3. (1,5 điểm) Dạng toán thực tế liên quan đến xác suất, thống kê.
Bài 4. (1 điểm)
a) Viết biểu thức A biểu diễn theo một đại lượng x nào đó trong bài toán thực tế.
b) Tìm giá trị của x để A thỏa điều kiện nào đó.
Bài 5. (1 điểm) Dạng toán thực tế liên quan đến hình học:
Chu vi, diện tích tam giác, tứ giác, độ dài cung tròn, chu vi đường tròn, diện tích hình tròn, hình quạt tròn, hình viên phân, hình vành khăn... Diện tích xung quanh, diện tích toàn phần, thể tích các hình khối trong thực tế…
Bài 6. (1 điểm) Dạng toán thực tế liên quan đến phương trình, bất phương trình, hệ phương trình bậc nhất hai ẩn.
Bài 7. (3 điểm) Bài toán hình học phẳng gồm 3 câu
a) Chứng minh 4 điểm thuộc đường tròn, các yếu tố song song, vuông góc, bằng nhau…
b) Chứng minh hệ thức, các yếu tố bằng nhau, thẳng hàng, đồng quy…
c) Tính toán độ dài, chu vi, diện tích, số đo góc...
Mẫu đề như sau:
![]() |
![]() |
| Mẫu đề thi môn Toán lớp 10 tại TP. Hồ Chí Minh năm 2026. |
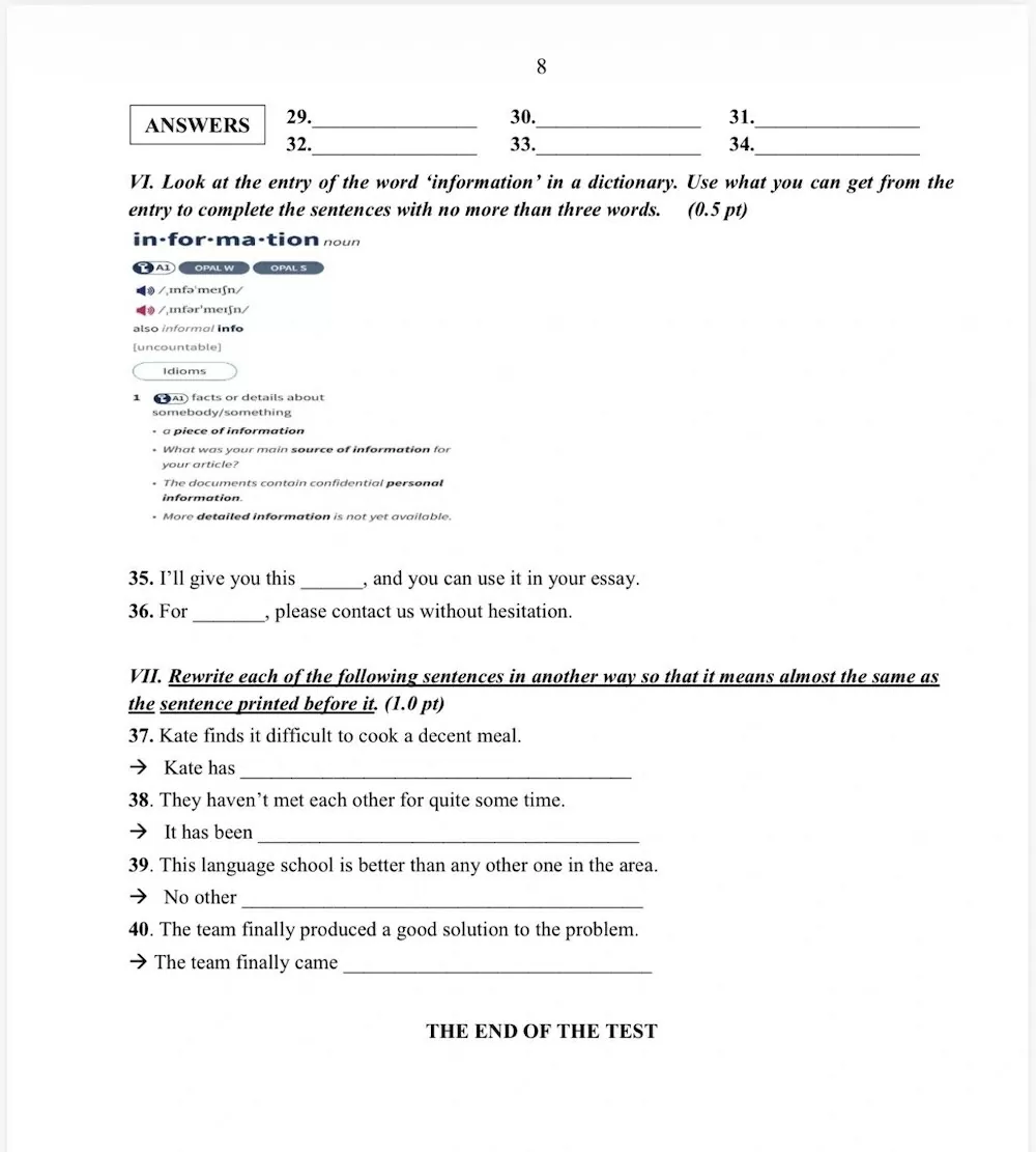
Môn Tiếng Anh
Môn Tiếng Anh hướng việc đánh giá vào các kỹ năng ngôn ngữ cụ thể, mục tiêu cụ thể cho từng mạch kiến thức.
Cấu trúc đề thi lớp 10 môn tiếng Anh, có 4 phần gồm 40 câu
Phần 1 (1 điểm): Ngữ âm, từ câu 1 đến câu 4
Phần 2 (3 điểm): Từ vựng, ngữ pháp, giao tiếp, từ câu 5 đến câu 16
Phần 3 (4 điểm): Viết dạng đúng của từ, từ câu 29 đến câu 34; Viết cụm từ phù hợp theo thông tin cho sẵn, câu 35, 36; Viết câu, từ câu 37 đến câu 40.
Phần 4 (3 điểm): Đọc hiểu: Đọc và điền từ, từ câu 17 đến câu 22; Đọc hiểu trả lời câu hỏi, từ câu 23 đến câu 28.
Lưu ý có 2 câu hỏi mới về viết cụm từ phù hợp theo thông tin cho sẵn. Câu hỏi này kiểm tra khả năng đọc chú thích trong tự điển để tìm kiếm thông tin ngôn ngữ và vận dụng kiến thức.
Mẫu đề như sau:
![]() |
![]() |
![]() |
![]() |
| Mẫu đề thi môn Tiếng Anh lớp 10 tại TP. Hồ Chí Minh năm 2026. |
Nguồn: https://baoquocte.vn/tp-ho-chi-minh-cong-bo-de-mau-3-mon-toan-ngu-van-tieng-anh-thi-lop-10-nam-2026-331766.html















Bình luận (0)