شورای پذیرش دانشگاه پزشکی و داروسازی شهر هوشی مین، فهرست داوطلبان پذیرفته شده در برنامه عادی دانشگاه در سال 2024 را اعلام کرد.
فهرست داوطلبان پذیرفتهشده بر اساس نتایج آزمون فارغالتحصیلی دبیرستان ۲۰۲۴، رشتههای تحصیلی را اینجا ببینید
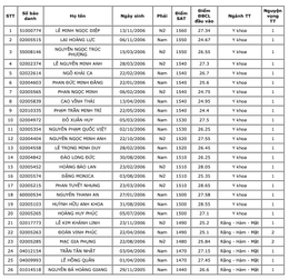
در رشته پزشکی، داوطلبی که بالاترین امتیاز پذیرش را دارد، دوآن مین دوک با ۲۹.۴۲ امتیاز است که شامل ۹.۴ در ریاضی؛ ۱۰ در شیمی؛ ۱۰ در زیستشناسی میشود؛ مین دوک همچنین دانشجوی ممتاز دانشگاه پزشکی و داروسازی شهر هوشی مین در سال ۲۰۲۴ است.


در رشته دندانپزشکی، داوطلبی که بالاترین امتیاز پذیرش را دارد، ترن تری دوک با نمره کل ۲۹.۳۵ است که شامل ریاضی ۹.۶، شیمی ۱۰ و زیست شناسی ۹.۷۵ میشود.

فهرست داوطلبان پذیرفتهشده بر اساس نتایج آزمون فارغالتحصیلی دبیرستان ۲۰۲۴ به همراه انتخاب اولیه گواهینامههای بینالمللی زبان انگلیسی، اینجا را ببینید


فهرست داوطلبان پذیرفته شده بر اساس نتایج SAT (آزمون استعداد تحصیلی)

فهرست داوطلبان پذیرفته شده با روش آمادگی برای دانشگاه

امسال، نمره پذیرش دانشگاه پزشکی و داروسازی شهر هوشی مین از 20.1 تا 27.8 متغیر است. بر این اساس، بالاترین نمره پذیرش برای رشته پزشکی بر اساس نمرات آزمون فارغ التحصیلی دبیرستان 27.8 است. نمره پذیرش برای رشته پزشکی همراه با گواهینامه های انگلیسی 26.95 است. نمره پذیرش برای رشته دندانپزشکی بر اساس نمرات آزمون فارغ التحصیلی دبیرستان 27.35 است. نمره پذیرش برای رشته دندانپزشکی همراه با گواهینامه های انگلیسی 26.5 است. نمره پذیرش برای رشته بهداشت عمومی 20.1 است.
بالاترین امتیاز معیار آکادمی طب سنتی ویتنام ۲۵.۵۷ است.
بالاترین امتیاز معیار دانشگاه پزشکی و داروسازی شهر هوشی مین در سال 2024، 27.8 است.
دانشگاه پزشکی و داروسازی و دانشگاه حقوق - VNU نمرات معیار برای سال 2024 را اعلام کردند
بالاترین امتیاز معیار دانشگاه پزشکی و داروسازی کان تو ۲۵.۷۰ است.
شهریه پزشکی و داروسازی در جنوب: بالاترین مدرسه 220 میلیون دونگ ویتنام در سال است
منبع: https://vietnamnet.vn/danh-sach-trung-tuyen-truong-dai-hoc-y-duoc-tphcm-nam-2024-2313651.html



![[عکس] نخست وزیر فام مین چین در پنجمین مراسم اهدای جوایز مطبوعات ملی در زمینه پیشگیری و مبارزه با فساد، اسراف و منفی گرایی شرکت کرد.](https://vphoto.vietnam.vn/thumb/1200x675/vietnam/resource/IMAGE/2025/10/31/1761881588160_dsc-8359-jpg.webp)
![[عکس] دانانگ: آب به تدریج در حال فروکش کردن است، مقامات محلی از پاکسازی سوءاستفاده میکنند](https://vphoto.vietnam.vn/thumb/1200x675/vietnam/resource/IMAGE/2025/10/31/1761897188943_ndo_tr_2-jpg.webp)





































































نظر (0)