
Υποψήφιοι μετά τις απολυτήριες εξετάσεις του λυκείου του 2025 στο Ανόι - Φωτογραφία: DANH KHANG
Σύμφωνα με την ανακοίνωση του Υπουργείου Παιδείας και Κατάρτισης της επαρχίας Λάο Κάι σχετικά με τα αποτελέσματα της επανεξέτασης των απολυτηρίων λυκείου του 2025, σε ολόκληρη την επαρχία έχουν επανεξεταστεί 350 γραπτά, εκ των οποίων 11 γραπτά ανήκουν στο πρόγραμμα του 2006 και 339 γραπτά ανήκουν στο πρόγραμμα του 2018.
Η επανεξέταση χωρίζεται σε δύο περιοχές: Περιοχή 1 (πρώην επαρχία Γεν Μπάι ) και Περιοχή 2 (πρώην επαρχία Λάο Κάι).
Συγκεκριμένα, υπήρχαν 2 εξετάσεις με προσαρμοσμένες βαθμολογίες, στις οποίες η μία εξέταση λογοτεχνίας προσαρμοσμένη από 6,75 μονάδες σε 7,0 μονάδες μετά από επανάληψη.
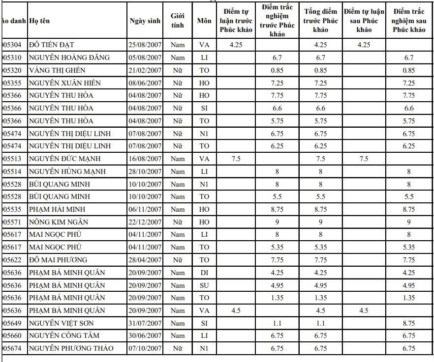
Η βαθμολογία στις εξετάσεις βιολογίας πριν από την επανάληψη ήταν 1,1 μονάδες, ενώ η βαθμολογία μετά την επανάληψη ήταν 8,75 μονάδες.
Σύμφωνα με το Υπουργείο Παιδείας και Κατάρτισης της επαρχίας Λάο Κάι, η βαθμολογία των εξετάσεων βιολογίας προσαρμόστηκε από 1,1 σε 8,75 επειδή ο υποψήφιος έγραψε λάθος κωδικό εξέτασης στην απόδειξη εξέτασης, έγραψε και συμπλήρωσε λάθος κωδικό εξέτασης στο φύλλο απαντήσεων πολλαπλής επιλογής σε σύγκριση με τον κωδικό εξέτασης που διανεμήθηκε.

Λίστα υποψηφίων που εξετάζουν τις βαθμολογίες των απολυτήριων εξετάσεων λυκείου το 2025 στο Λάο Κάι - Φωτογραφία: Στιγμιότυπο οθόνης
Σύμφωνα με στατιστικά στοιχεία, σε ολόκληρη τη χώρα θα συμμετάσχουν στις απολυτήριες εξετάσεις λυκείου το 2025 πάνω από 1,16 εκατομμύρια υποψήφιοι, σημειώνοντας αύξηση σχεδόν 100.000 σε σύγκριση με πέρυσι.
Οι φετινές εξετάσεις διοργανώνονται για δύο ομάδες υποψηφίων: την ομάδα που δίνει εξετάσεις σύμφωνα με το γενικό εκπαιδευτικό πρόγραμμα του 2018 (γνωστό και ως νέο πρόγραμμα) με περισσότερους από 1,13 εκατομμύρια μαθητές, και την ομάδα που δίνει εξετάσεις σύμφωνα με το πρόγραμμα του 2006 (παλιό πρόγραμμα) με περίπου 25.000 μαθητές.
Πηγή: https://tuoitre.vn/diem-thi-tot-nghiep-thpt-cua-mot-thi-sinh-tu-1-1-len-8-75-sau-phuc-khao-20250813100905272.htm



![[Φωτογραφία] Ο Πρωθυπουργός Φαμ Μινχ Τσινχ παρευρίσκεται στην 5η Τελετή Απονομής Εθνικών Βραβείων Τύπου για την πρόληψη και την καταπολέμηση της διαφθοράς, της σπατάλης και της αρνητικότητας](https://vphoto.vietnam.vn/thumb/1200x675/vietnam/resource/IMAGE/2025/10/31/1761881588160_dsc-8359-jpg.webp)

![[Φωτογραφία] Ντα Νανγκ: Το νερό υποχωρεί σταδιακά, οι τοπικές αρχές επωφελούνται από τον καθαρισμό](https://vphoto.vietnam.vn/thumb/1200x675/vietnam/resource/IMAGE/2025/10/31/1761897188943_ndo_tr_2-jpg.webp)









































































Σχόλιο (0)