Vietnam.vn - Nền tảng quảng bá Việt Nam

英語のテストは4ページあり、解答が更新されます

TPO - 今朝、高校卒業試験の外国語試験が50分間で実施されました。ティエンフォン新聞は24の試験コードについて、試験問題と解答を更新しました。

Báo Tiền PhongBáo Tiền Phong27/06/2025

2018年度一般教育プログラムに基づく英語試験の受験登録者は約358,000人です。

受験者数が最も少なかったのはロシア語でわずか103名、次いでフランス語が408名、中国語が約4,400名だった。

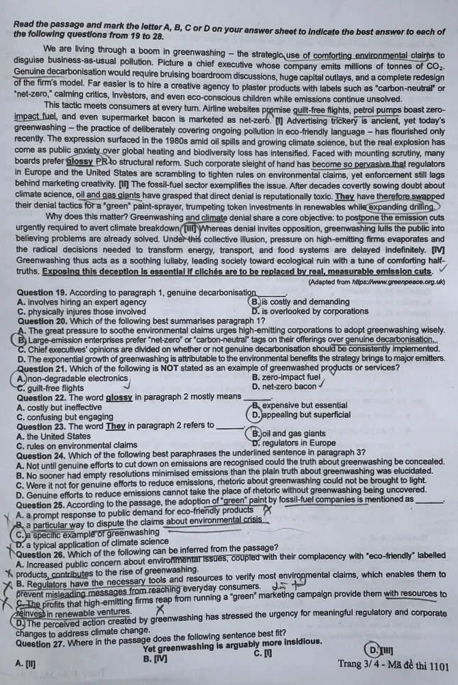
以下は、2018年度一般教育プログラムに基づく英語試験です。

英語のテストは4ページあり、写真付きの解答1が更新されました
英語のテストは4ページあり、写真付き解答2が更新されました
英語のテストは 4 ページあり、解答の写真 3 が更新されました。
英語のテストは4ページあり、4枚の写真付き解答で更新されます
英語のテストは4ページあり、写真付きの解答5で更新されています。

Tuyensinh247 センターの 24 の試験コードの回答を更新します。

出典: https://tienphong.vn/de-thi-tieng-anh-dai-kin-4-trang-giay-cap-nhat-giai-de-post1754943.tpo


コメント (0)

No data
No data

同じトピック

同じカテゴリー

タンロン皇城における李朝中秋節の再現
西洋の観光客は杭馬街で中秋節のおもちゃを買って子供や孫に贈ることを楽しんでいる。
杭馬街は中秋の名月で彩られ、若者たちが興奮してひっきりなしにチェックインしている。
歴史的メッセージ:ヴィン・ニエム・パゴダの木版画 - 人類の記録遺産

同じ著者

遺産

;

人物

;

企業

;

No videos available

時事問題

;

政治体制

;

地方

;

商品

;