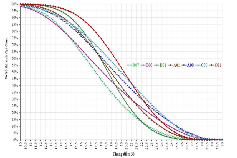
Enligt utbildningsministeriet är den kumulativa poängfördelningen för 7 examensgrupper år 2025 och andelen kandidater som uppnår varje poängnivå på 30-poängsskalan följande:

Utbildningsministeriet tillkännagav också percentiltabellen över totalpoängen för några populära resultatkombinationer för gymnasieexamen 2025 efter kalibrering:






Sambandet mellan resultaten i gymnasieexamensämnena 2025 och de genomsnittliga poängen i gymnasieämnen som tillkännagivits av utbildningsministeriet är följande:


Utbildningsministeriet rekommenderar att utbildningsinstitutioner, baserat på faktorer som: poängfördelning och percentil av vissa traditionella kombinationer (kalibrerade), antagningsriktlinjer, huvudämnen för antagning inom varje bransch/branschgrupp, tillsammans med specifika krav för varje bransch och skola, proaktivt utvecklar och tillkännager motsvarande konverteringsmetod för antagningspoäng mellan antagningskombinationer, för att säkerställa rätt schema.
Om resultaten från separata prov (såsom förmågabedömning, tankebedömning...) eller andra metoder används, kommer utbildningsinstitutionen att basera sig på den percentil som tillkännagivits av examensorganisatorn. På grundval av detta bestämmer skolan den lämpligaste kombinationen (vanligtvis den ursprungliga kombinationen med den högsta korrelationskoefficienten mellan de två proven) för att konvertera resultaten. Indirekt (överbryggande) konvertering tillämpas inte.
Utbildningsinstitutionerna informerar tydligt kandidaterna och följer strikt antagningsprocessen; samtidigt är de ansvariga för att svara på konverteringsresultaten motsvarande antagningspoängen.
Till exempel: för huvudämne X är antagningsresultatet enligt gymnasieexamensresultatet för kombination A00 (ursprunglig kombination) 25/30 poäng, vilket motsvarar antagningsresultatet för den separata examen på 75/120 poäng; om antagningsresultatet enligt kombination B00 är 24/30, kommer detta resultat inte att användas för att bestämma motsvarande antagningsresultat för den separata examen.
Vid användning av gymnasieresultat, baserat på statistiska data om korrelationen mellan resultaten från gymnasieexamen år 2025 och genomsnittsresultaten i gymnasieämnen, ska utbildningsinstitutionen utveckla och tillkännage motsvarande omvandling av antagningsresultat och ingångsgränser för varje program, bransch, branschgrupp eller utbildningsområde.
För utbildningsinstitutioner som anordnar oberoende prov enligt det omfattande provet är det nödvändigt att fastställa ämneskombinationer för examensprovet som är lämpliga för egenskaperna hos det enskilda prov som institutionen anordnar och rekommendera att andra utbildningsinstitutioner kan använda dem, förtydliga vilken kombination som är mest lämplig att bestämma som den ursprungliga kombinationen; vägleda och stödja andra utbildningsinstitutioner i att bygga omvandlingen av antagningsresultat.
Källa: https://nld.com.vn/bo-gd-dt-cong-bo-cach-quy-doi-tuong-duong-diem-trung-tuyen-196250722104527899.htm






Kommentar (0)