(Dan Tri) - Se espera que una serie de estudiantes de una importante universidad de la ciudad de Ho Chi Minh se vean obligados a abandonar sus estudios y reciban advertencias académicas.
Según información de la Universidad de Derecho de la ciudad de Ho Chi Minh, se espera que una serie de estudiantes de tiempo completo de esta escuela se vean obligados a abandonar o recibir una advertencia académica debido a los malos resultados académicos en el segundo semestre del año escolar 2023-2024.

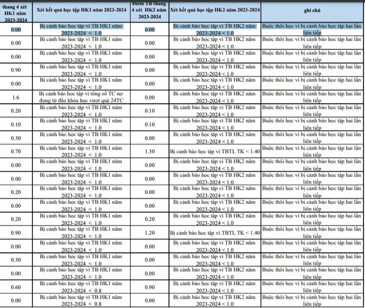
Muchos estudiantes de la Universidad de Derecho de Ciudad Ho Chi Minh corren el riesgo de verse obligados a abandonar sus estudios debido a sus malos resultados académicos (fotografía extraída del informe).
En concreto, según la lista, se prevé que 41 estudiantes se vean obligados a abandonar la escuela tras haber recibido dos advertencias consecutivas. En concreto, estos estudiantes recibieron advertencias por malos resultados en el primer y segundo semestre del curso escolar 2023-2024.
Además, se espera que 75 estudiantes reciban una advertencia académica debido a malos resultados en el segundo semestre del año escolar 2023-2024.
De acuerdo con las regulaciones de la Universidad de Derecho de la Ciudad de Ho Chi Minh, los estudiantes reciben una advertencia académica en función de las siguientes condiciones:
- El número total de créditos no cursados en un semestre supere el 50% de los créditos matriculados en el semestre, o el número total de créditos pendientes al inicio del curso supere los 24 créditos;
- El puntaje promedio del semestre es inferior a 0,80 para el primer semestre del curso, e inferior a 1,0 para los semestres siguientes;
- Promedio general acumulado (GPA) inferior a 1,2 para estudiantes de primer año, inferior a 1,4 para estudiantes de segundo año, inferior a 1,6 para estudiantes de tercer año o inferior a 1,8 para estudiantes de años posteriores.

Estudiantes de la Universidad de Derecho de la Ciudad de Ho Chi Minh en la ceremonia de graduación de 2024 (Foto de la ilustración: Hoai Nam).
Los estudiantes están obligados a abandonar los estudios en los siguientes casos: Haber recibido dos amonestaciones académicas consecutivas; Haber estudiado más del tiempo límite prescrito.
La Universidad de Derecho de Ciudad Ho Chi Minh es una de las mejores universidades de Ciudad Ho Chi Minh, con una alta puntuación anual de admisión. En 2024, la puntuación estándar para ingresar a la institución, basada en los resultados de graduación de la escuela secundaria, oscila entre 22,56 y 27,27 puntos.
[anuncio_2]
Fuente: https://dantri.com.vn/giao-duc/ly-do-khien-loat-sinh-vien-truong-top-bi-buoc-thoi-hoc-20241023142312588.htm










Kommentar (0)